Article

Amphibian Monitoring at Grand Portage National Monument, 2015-2019

A light brown frog with darker brown lines on its back clings to the trunk of a paper birch tree.
Giziibwewed ("Gi-zheeb-way-wayd"), Spring Peeper

Gary Casper

Toads and frogs are unique among amphibians in that they produce calls that are unique and identifiable. This makes it possible to monitor their populations using remote recorders, or “frog loggers.” Monitoring is important for many reasons, the top one being that declines of amphibian populations are one of the most prominent conservation issues in the world. Most amphibians need both land and water during their lifetimes, so they are sensitive to environmental changes including temperature, precipitation, and humidity, making them indicators of climate and habitat change.

A green box is strapped to the trunk of a conifer tree. A small device in a clear plastic case hangs below it. A patch of snow and leafless trees are visible in the background.
An automated recorder, or “frog logger.” Microphones come out of the top left and right of the box. A temperature logger is attached below.

NPS photo

Frog Loggers

Six permanent amphibian monitoring sites were established at Grand Portage in 2015, with two sites per wetland type: permanent, semi-permanent (only dry during drought years), and ephemeral (temporary, seasonal sites created by snowmelt and spring rain that are usually dry by summer).

An audio recorder at each site turns on in April and begins collecting 5-minute samples once an hour between 3:00 p.m. and 6:00 a.m. each day. Four extra samples are recorded on the half-hour mark in the evening between 7:30 and 10:30 p.m. A temperature sensor records temperature once an hour.

Recording frog and toad calls allows us to determine occupancy and abundance. Occupancy is a measure of whether or not a site is occupied by a species. Abundance is tracked by assessing how the maximum call intensity changes on sites across years, and by how many times we hear that species across years. In 2018, we also began tracking phenology, or the trends in annual first-calling dates for each species over time. For now, we are only tracking phenology for three species common to all parks in the network: Eastern American Toads, Green Frogs, and treefrogs. The Gray Treefrog and Cope’s Gray Treefrog (which is not found at Grand Portage) have very similar calls that are difficult to distinguish, even with recordings, so for phenology purposes, data for both species are combined at parks where both occur.

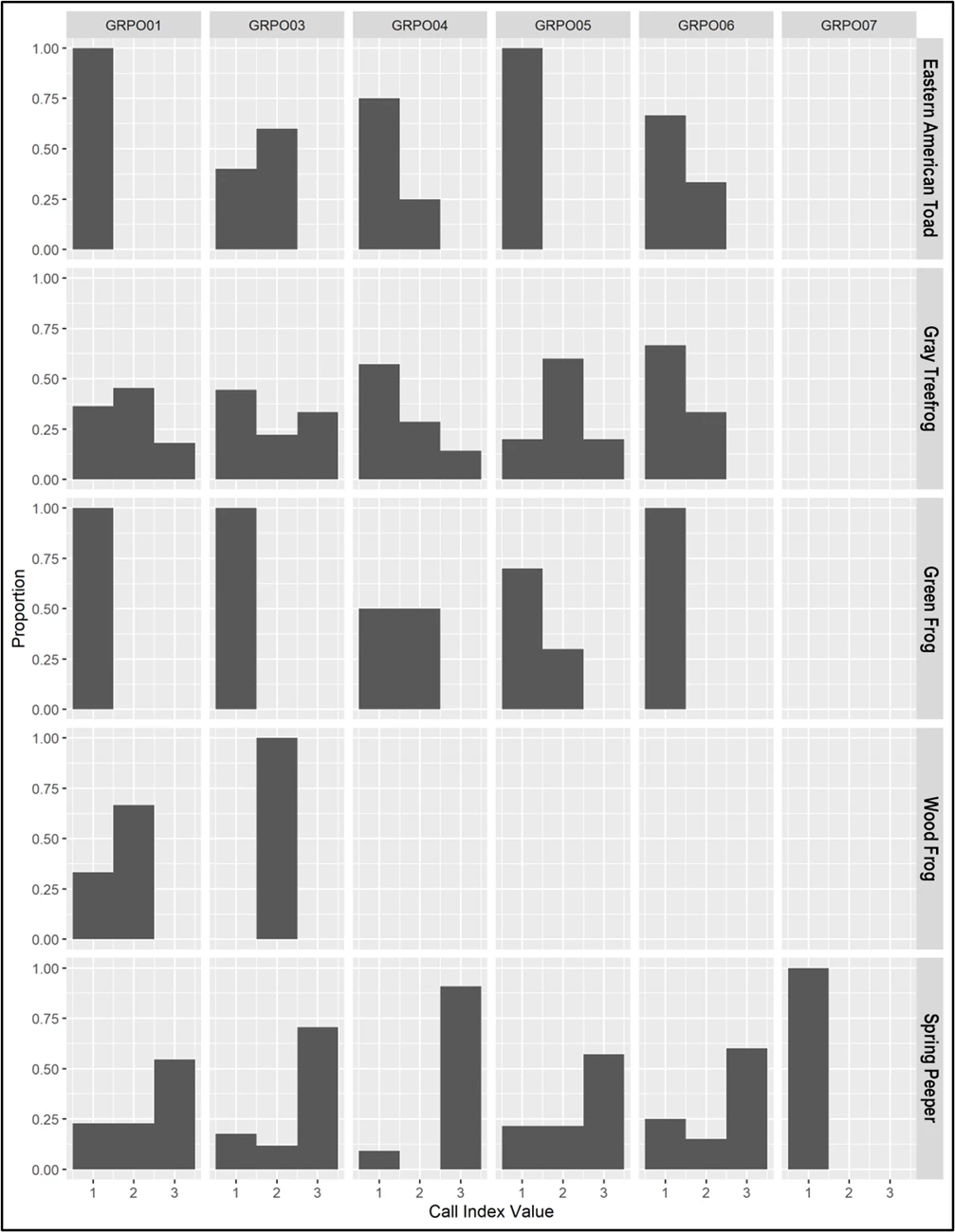
A sub-sample of the recordings are used to assign a Call Index Value (CIV) to each species. CIV is the maximum call intensity, ranging from CIV=1 (non-overlapping calls indicating few singing males) to CIV= 3 (calls too numerous to count individuals). CIVs can be analyzed over time to determine if a species is increasing or decreasing in abundance.

The Latest (as of 2019)

Five of the eight frog and toad species known to occur at or near Grand Portage were recorded in 2019, with Green Frog and Spring Peeper occurring at every site sampled. Mink Frog was not found in 2019, though they were present in 2016. Northern Leopard Frog and Boreal Chorus Frog have not yet been detected at the monitoring sites, though both are known to occur nearby.

Phenology

The Eastern American Toad was the first species heard calling in 2019, beginning on 29 May. It was followed by the Gray Treefrog, first heard on 7 June, and the Green Frog, which began calling on 15 June.

Call Index Values

Eastern American Toad scored a CIV=1 at two of the five sites where it was heard in 2019, with the other three sites reaching CIV=2 (see graph). Green Frogs never exceeded a CIV=1 at three of the five sites where it was recorded. GRPO07, the site closest to Lake Superior, was especially quiet, with only the Spring Peeper being recorded and that at low abundance (CIV=1). Only the Spring Peeper and the Gray Tree Frog reached CIV=3.

A panel of 30 gray-scale bar graphs, one for each frog and toad species detected at each site.
Call Index Values (CIV) for each species at each site, Grand Portage National Monument, 2019. CIVs range from 1 (individuals of the species can be counted, there is silence between calls) to 3 (full chorus for the species, calls are constant, continuous, and overlapping).

What's Next?

The automated recorders continue to turn on each spring and capture the sounds of frogs and toads coming out of their winter slumber and looking for mates. Data collected since 2019 are being analyzed and we will publish regular updates on the status of Grand Portage amphibians.

Grand Portage National Monument

Last updated: January 10, 2024