Last updated: September 28, 2020
Article
A Decade of Bald Eagle Surveys in Southwest Alaska Parks

NPS/Kara Lewandowski
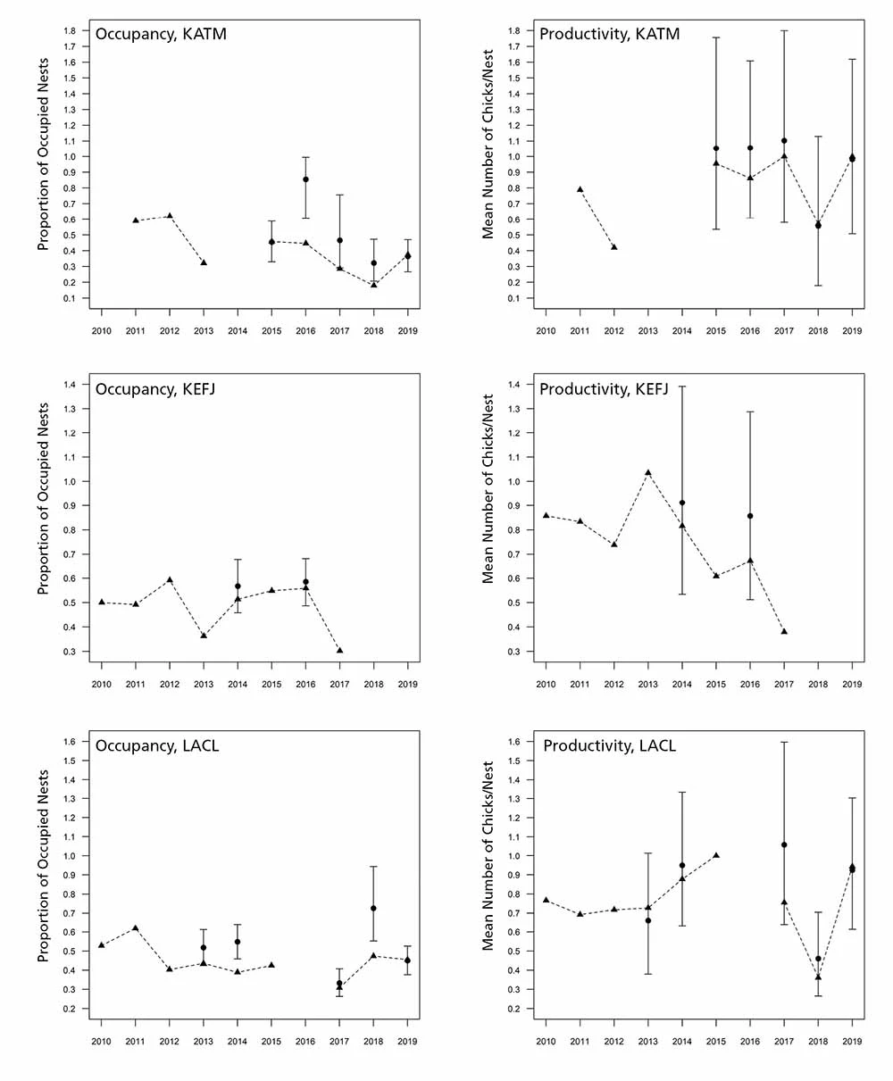
Katmai and Lake Clark national parks and preserves and Kenai Fjords National Park support large populations of bald eagles. As top predators, bald eagles serve as indicators of conditions in the terrestrial, aquatic, and marine ecosystems. Recent work on eagles in Lake Clark (Wilson et al. 2018) and Wrangell-St. Elias national parks and preserves (Schmidt et al. 2020) have shown that although populations are stable, the production of chicks can vary with spring temperature and salmon availability. Our bald eagle nest monitoring data from all three parks show the interannual variability that can occur in bald eagle populations in Southwest Alaska (see graphs). Although nest occupancy and productivity can vary from year to year due to myriad factors that include environmental conditions and measurement error, there is no discernable trend over the 10+ years for which we have data. This means that the population in southwest Alaska parks remains stable and healthy.

Triangles represent a traditional method that calculates the vital sign directly from the data and assumes no measurement error. Circles represent the results of a statistical model that acknowledges known sources of observation and sampling error.

NPS/Laura Phillips
An Adaptive Monitoring Framework for Monitoring Eagles
Adaptive monitoring is used to ensure monitoring programs remain relevant to park needs into the future (Reynolds et al. 2016). A protocol review was recently completed for the four parks where nesting bald eagles are monitored, using an adaptive framework to ensure relevant data are collected in a way that is supported by eagle biology and programmatic needs. As part of this review, we formed an expert panel to evaluate the bald eagle monitoring metrics that are being or could be used. The panel comprised 18 biologists and managers from the National Park Service, US Fish and Wildlife Service, and state agencies. These panelists participated in three activities meant to (1) connect eagle biology to monitoring metrics; (2) evaluate those metrics for reliability, sensitivity to stressors, and cost/effort of implementation; and (3) evaluate the metrics based on values identified by the panel.
The first activity consisted of a Delphi process using questionnaires to collect data about monitoring metrics that would be useful for evaluating bald eagle populations in an adaptive monitoring framework (Kolstrom et al. 2020). A panel of experts answered a series of four questionnaires aimed at identifying important stressors to bald eagle populations, metrics that could be used to measure eagle populations, the cost and effort required to implement the metrics, reliability of the metrics for monitoring eagle biology, and sensitivity of the metrics to different stressors.
The panel of experts then met in person to come up with objectives that could be used to evaluate monitoring metrics for effectiveness and cost. The objectives were (1) minimizing cost, (2) minimizing effort, (3) maximizing information about bald eagles, and (4) maximizing the ability to detect change. We then used a consequence table to narrow the list of monitoring metrics to those that performed best on all four of the objectives.
Finally, we evaluated scenarios composed of different monitoring metrics for their ability to optimize all four objectives. To do this, the panelists ranked each of the four objectives so that the most important carried the most weight. With the rankings in hand we were able to compare monitoring scenarios comprised of different metrics.
Our Findings
In their ranking, the panel valued information about eagles and ability to detect change nearly twice as much as cost and effort. A comprehensive scenario that included adult survival in addition to the metrics than are currently monitored was deemed optimal, but was not adopted due to the prohibitively high costs associated with monitoring adult survival. Given network and park resources and staffing constraints, we concluded that the current monitoring program contained adequate information about eagles and was the most efficient in terms of time and staff effort.
This effort was an example of a protocol review that recognized the contributions and opinions of important stakeholders. The adaptive monitoring framework was useful in reaffirming the importance of monitoring bald eagles in the parks and encouraging parks to use compatible methods, but also revealed limitations in the ability to estimate actual costs of monitoring adult survival. The exercise also emphasized that the current monitoring program records data useful for monitoring the status and trends of bald eagle populations with a minimum amount of cost and effort. A report outlining the Delphi process and consequence table will soon be published in a manuscript outlining the scenario testing and results.
References
Kolstrom, R., T. L. Wilson, and L. M. Gigliotti. 2020. Using the Delphi process to gather information from a Bald Eagle expert panel. Natural Resource Report NPS/SWAN/NRR—2020/2128. National Park Service, Fort Collins, Colorado.
Reynolds, J. H., M. G. Knutson, K. B. Newman, E. D. Silverman, W. L. Thompson. 2016. A road map for designing and implementing a biological monitoring program. Environmental Monitoring and Assessment 188: 399.
Schmidt, J. H., J. Putera, T. L. Wilson. 2020. Direct and indirect effects of temperature and prey abundance on bald eagle reproductive dynamics. Oecologia 192: 391-401.
Wilson, T. L, J. H. Schmidt, B. Mangipane, R. Kolstrom, K. Bartz. 2018. Nest use dynamics of an undisturbed population of bald eagles. Ecology and Evolution 8: 7346-7354.