Last updated: October 18, 2019
Article
Microplastics Are Everywhere!

Internet Movie Database (IMDB.com)
“I just want to say one word to you, Ben. Just. One. Word. Are you listening? Plastics. There’s a great future in plastics.”
Fifty years after Mr. McGuire uttered these prophetic words to an unenthused Ben Braddock in the 1967 movie The Graduate, plastics are used to make everything from children’s toys to car parts and athletic wear to exfoliants. Plastics are lightweight and inexpensive to produce, qualities that can also make them a throw-away item. That disposability could present a threat to aquatic life in Midwestern lakes and streams.

Sherri A. Mason, State University of New York-Fredonia
What Are Microplastics?
Microplastics are plastic particles less than 5 millimeters in diameter that come from a wide range of sources including soaps, synthetic clothing and textiles, Styrofoam™, and degraded pieces of plastic litter such as bottles and bags (see sidebar). Microplastics often enter lakes and streams as larger pieces of plastic trash that break down over time. Smaller pieces can also be carried on and deposited by the wind. Effluent from wastewater treatment plants often carries the microbead exfoliants that go down the bathroom drain and the fleece and nylon lint from our laundry machines that can pass through the treatment filters and into lakes and streams.
What's the Problem?
A primary concern about microplastics is their potential to harm aquatic organisms. Microplastics continue to break down into smaller and smaller particles, which can be ingested by anything from tiny plankton and mussels to larger fish and birds. But how microplastics affect those who eat them is not fully understood. Some organisms can eliminate some shapes and sizes of microplastics from their bodies, but others, especially fibers––the most common microplastic type observed during this study––can tangle into tight balls and become lodged in an organism’s gut.
We also know that plastics can contain a variety of toxic or endocrine-disrupting chemicals such as flame retardants, antimicrobial compounds, and bisphenol-A––an industrial chemical used primarily to make polycarbonate plastic and epoxy resins. Plastics also can act as sponges for toxic contaminants in the surrounding water, absorbing polychlorinated biphenyls (PCBs), polycyclic aromatic hydrocarbons (PAHs), organochlorine pesticides, and metals. Many of these are toxic to animals and humans, and there is some evidence that these contaminants may be transferred from the microplastics to the tissues of fish and other organisms when eaten. Though some laboratory studies show no ingestion-related effects, others have reported that organisms ingesting microplastics might experience inhibited reproduction, growth, and ability to avoid predators. Microplastics have also been shown to transport pathogens from wastewater treatment facilities to downstream locations, presenting a potential human health issue.
NPS / Great Lakes Network
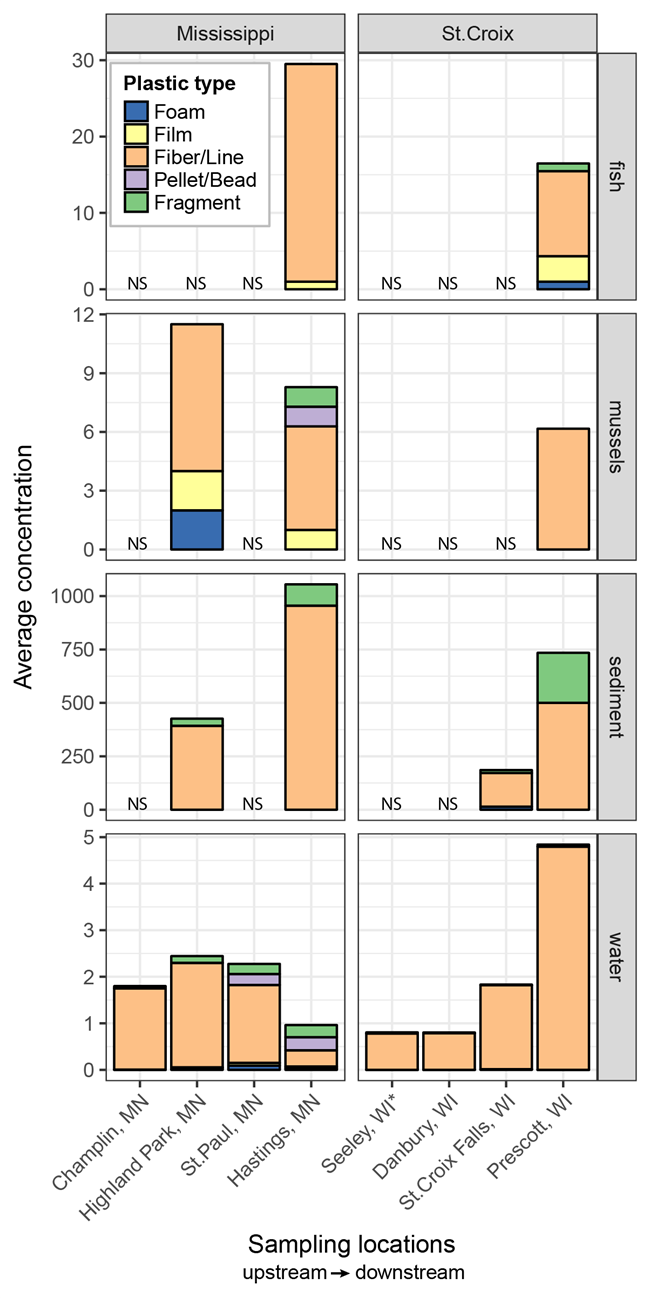
In 2015, we initiated a study to identify the quantity and types of microplastic particles in the upper Mississippi River (within the Mississippi National River and Recreation Area) and in the Namekagon and St. Croix Rivers (St. Croix National Scenic Riverway; Figure 1). We collected and analyzed water from four sites on each river system; sediment (from the top few inches of river bed) from two sites on each river system; smallmouth bass from the downstream-most location on each river; and three-ridge mussels from two sites on the Mississippi and one on the St. Croix/Namekagon. Microplastic particles were sorted by size, counted, and grouped into different types.

Sherri A. Mason, State University of New York-Fredonia
They’re Everywhere!
Microplastics were found in every water, sediment, fish, and mussel sample collected for this study. Average concentrations ranged from 2 to 600 particles per unit of measure (Table 1). What concentrations might be harmful to aquatic organisms? We don’t know yet, but a lot of studies are currently focused on answering that question. Unlike a chemical contaminant that varies primarily in its concentration, plastics vary in size, shape, chemical composition of the original material, and concentration of absorbed chemicals. All of those variables factor into the ecological effect.
The majority of microplastics were between 0.33 mm and 1 mm in size. Recent studies have shown that the vast majority of microplastics in the environment are smaller than 0.33 mm. Technical limitations in both our sample collection methods and in our analysis precluded us from collecting particles smaller 0.33 mm. Thus, it is possible that the sample concentrations reported here significantly underestimate actual concentrations.
The range of microplastic concentrations found in our water samples were similar to those others have found in water samples from tributary streams flowing into the Great Lakes.

Concentrations were much higher in sediments than in water (per unit volume), indicating that microplastics accumulate in sediments over time (Figure 2). Fibers—likely from synthetic clothing and textiles—were the dominant particle type in all samples, comprising an average of 93% of all particles in mussels, 92% of all particles in sediment samples, and 86% of all particles in fish and water samples. The dominance of fibers over other particle types is consistent with a number of other studies.
Fibers were present in watersheds with all types of land use and varying amounts of wastewater effluent contributions. Fragments, films, pellets/beads, and foams were more frequent in samples downstream of urban areas (Figure 2).

Sherri A. Mason, State University of New York-Fredonia.
The Influence of Streamflow
Among the microplastic types, it seems fibers only go with the flow for so long. For most microplastics, overall concentrations in water and sediment increased with distance downstream (Figure 2, bottom four panels). But in the Mississippi, overall microplastic concentrations in water collected from the Hastings, MN, site decreased (Figure 2, bottom left panel), especially fiber concentrations. What’s going on?
As the Mississippi flows toward Hastings, the river channel becomes wider and the flow of water slows down, allowing dense microplastics such as nylon and polyester fibers to sink. This could explain why fiber concentrations in water collected at Hastings declined while the concentrations in sediment were more than twice as high as the fiber concentration measured in sediments from the Highland Park site nearly 30 river-miles upstream.
What Can We Do?
Individual actions might seem insignificant, but they can be very effective in bringing about change. Read the label on personal care products and choose those with non-plastic exfoliants. Put reusable bags in your car so they are always ready for use at the grocery store. And we can all generally reduce our use of single-use, throw-away plastics. Every little bit helps to improve the health of lakes and streams for all members of the aquatic community.
This study
was a collaborative effort between the National Park Service (NPS), the U.S. Geological Survey (USGS), State University of New York at Fredonia, and Loyola University Chicago. Data from the study are available for download online at https://doi.org/10.5066/F7HT2MJX.
For more information, contact
Austin K. Baldwin
USGS, Idaho Water Science Center
Boise, Idaho
e-mail us